Từ trường là gì? Cách xác định từ trường và công thức tính từ trường ra sao?… Cùng trung tâm VATC tìm hiểu chi tiết toàn bộ thông tin về từ trường qua bài viết sau đây nhé!
1. Từ trường là gì?
Từ trường là môi trường vật chất xung quanh các hạt mang điện có sự chuyển động không ngừng, nó gây ra lực từ tác dụng lên một số vật có từ tính được đặt bên trong nó như dòng điện hay thanh nam châm.

Để hiểu rõ hơn về khái niệm này chúng tôi xin đưa ra một số ví dụ như sau để bạn dễ hình dung như: việc 2 nam châm hút nhau khi đặt chúng gần nhau (hay đặt chúng vào vùng từ trường của nhau); lực từ tác dụng xuyên qua không gian; sự tương tác của các dòng điện song song nếu cùng chiều thì hút còn ngược thì dấu sẽ đẩy nhau.
2. Cách phát hiện từ trường
Thông thường bằng mắt nhìn xung quanh chúng ta rất khó để nhận biết được môi trường của nó, ta thực hiện được thí nghiệm sau:
Chuẩn bị: 1 cuộn dây dẫn điện, 1 la bàn (nam châm), nguồn điện 5V, biến trở
Thực hiện: Mắc cuộn dây qua một biến trở sau đó lắp vào nguồn điện 1 chiều
Kết quả: Khi có nguồn điện đi qua quan sát thấy la bàn lệch đi ⇒ Cuộn dây sinh ra từ trường và la bàn định hướng theo từ trường của cuộn dây.
⇒ Vì vậy để nhận biết từ trường người ta sử sử dụng kim nam châm để dễ dàng nhận biết sự tác động của lực từ lên vật dật từ (nam châm).
3. Hướng của từ trường
Sử dụng nam châm thử để phát hiện hướng của nó. Người ta quy ước hướng của nó tại một điểm là hướng Nam – Bắc của kim nam châm nhỏ cân bằng tại điểm đó.
4. Công thức tính từ trường
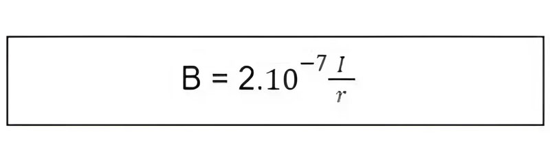
4.1. Từ trường dòng điện chạy trong dây dẫn thẳng dài

Trong đó:
+ B: Cảm ứng từ (T)
+ I: Cường độ dòng điện (A)
+ r: Khoảng cách từ dòng điện đến vị trí ta cần xét (m)
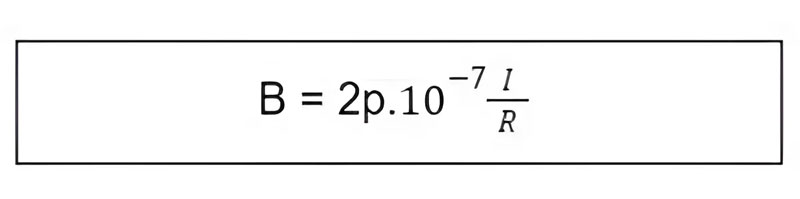
4.2. Từ trường dòng điện chạy trong dây dẫn uốn vòng tròn

Trong đó:
+ B: Cảm ứng từ (T)
+ I: Cường độ dòng điện (A)
+ R: Bán kính vòng dây mang dòng điện(m)
4.3. Từ trường trong khung dây tròn có N vòng quấn

Trong đó:
+ B: Cảm ứng từ (T)
+ I: Cường độ dòng điện (A)
+ R: Bán kính vòng dây mang dòng điện (m)
+ N: Số vòng dây
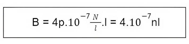
4.4. Từ trường của dòng điện trong ống dây hình trụ

Trong đó:
+ B: Cảm ứng từ (T)
+ I: Cường độ dòng điện (A)
+ N: Tổng số vòng dây
+ l: Chiều dài ống dây (m)
+ n = N.l : số vòng dây quấn trên một đơn vị dài của ống dây
5. Ứng dụng của từ trường
Trong thực tế, từ trường có tính ứng dụng lớn trong sản xuất các thiết bị sản xuất khác nhau:
- Ứng dụng trong các thiết bị máy móc như máy phát điện, các loại động cơ điện.
- Sử dụng trong các máy điện tính như máy biến áp, tụ điện,….
- Sử dụng để hút sắt như nam châm điện trong cần cẩu thép, cuộn rơ le, cuộn dây đóng mở van điện tử,…
- Dụng cụ đo đạc và thăm dò tín hiệu, phát tín hiệu sử dụng như micro loa, dò phát ra âm thanh, bộ cảm biến đo lường độ rung, độ chấn động, còn điện, chuông báo nước,…
- Sử dụng trong các vật chuyển động như đệm trong xe lửa cao tốc, bộ cản dịu bên trong các đồng hồ đo đạc,…
- Ứng dụng tạo ra sóng điện từ phát minh ra radio, TV, điện thoại di động và nhiều công nghệ hiện đại ngày nay,…
- Ứng dụng trong các thiết bị y tế giúp điều trị, cứu, chữa bệnh cho con người,…
Hy vọng bài viết trên đây của trung tâm VATC đã giúp bạn hiểu rõ mọi thứ về từ trường. Đừng quên theo dõi website của chúng tôi để luôn cập nhật những kiến thức – tài liệu ô tô hay nhất, cập nhật mới nhất thị trường bạn nhé!
Trung Tâm Huấn Luyện Kỹ Thuật Ô Tô Việt Nam – VATC
- Địa chỉ: Số 4-6, Đường số 4, Phường Hiệp Bình Phước, Thành Phố Thủ Đức, Thành phố Hồ Chí Minh
- Điện thoại: 0945711717
- Email: info@oto.edu.vn
Xem thêm:

